首页
>
走进电建
>
企业文化
>
艺苑风采
>
书法
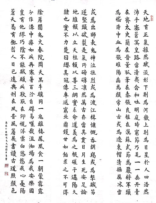
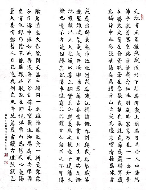
正气歌
来源:水电六局
作者:刘月锋
时间:2023-04-25
字体:[
大
中
小
]
分享:
【打印】
【关闭】
欧宝·官方端网站登录入口
|
平博在线客服
|
中欧在线官网
|
九游网页版登录入口
|
广发官方网站
|
乐竞平台
|
半岛平台
|
AK正规平台
|
米乐手机站·官方版在线
|